N-CETYL-N,N,N TRIMETHYL AMMONIUM BROMIDE |
 |
| HomeLaboratory ChemicalsAmmonium Salts |
 |
| Article No. |
02681 |
| Purity |
99%% |
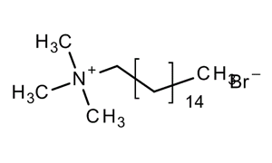
| Molecular Formula |
C19H42BrN |
| H.S. Code |
2923.9000 |
| Grade |
AR |
| CAS No. |
57-09-0 |
| Molecular Weight |
364.46 |
| Shelf Life |
5 |
|

|
|
| |
| Precipitant for nucleic acid and Muco-polysaccharrides. |
 |
| |
| Specifications |
| Assay |
Min 99% |
| Heavy metals (as Pb) |
Max 0.001% |
| Iron (Fe) |
Max 0.001% |
| Sulphated ash |
Max 0.1% |
| Loss on drying |
Max 1.0% |
|
|
|
| |
| Safety Information and Hazard Symbols |
 |
Symbol: GHS05, GHS07, GHS09 Signal Word: Danger UN No.: 3077 IMCO Class No.: 9 Packing Group: III Hazardous Statement: H302-H315-H318-H335-H400 Precaution Statement: P261-P273-P280-P305 + P351 + P338
|
|
| |
| Revision Date : 1-Dec-2012 |
| |