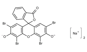
EOSIN YELLOW |
 |
| HomeLaboratory ChemicalsAdsorption Indicators |
 |
| Article No. |
03660 |
| Purity |
90%% |
| Molecular
Formula |
C20H6Br4Na2O5 |
| H.S. Code |
3204.1200 |
| Grade |
For
Microscopy |
| CAS No. |
17372-87-1 |
| Molecular
Weight |
691.88 |
| Shelf Life |
5 | |

| |
| |
| Use as histological stain
and fluoroscent indicator. Reagent for spectrophotometric
determination of Ag Cytoplasmic counterstain for haematoxylin.
Constituent for Wright's or modified Nocht?s Stain. |
 |
| |
| Specifications |
| C.I.No.45380 |
|
| Absorption maxima |
515 - 518 nm |
| Dye Content (Spectrophotometry) |
Min 90% |
| Solubility 0.1 % (Water) |
Clear solution |
| Absorptivity (A1%,1 cm in water at
λmax.) |
1200 - 1400 |
| Loss on drying (at 110 deg C) |
Max 8% |
| Copper (Cu) |
Max 0.005% |
| Iron (Fe) |
Max 0.005% |
| Nickel (Ni) |
Max 0.005% |
| Lead (Pb) |
Max 0.005% |
| Suitability for microscopy |
Passes test | |
| |
| |
| Safety Information
and Hazard Symbols |
|
Symbol:
GHS07 Signal Word: Warning Hazardous Statement:
H319 Precaution Statement: P305 + P351 +
P338
| |
| |
| Revision Date
: 1-Dec-2012 |
| |